Skip to main content

Rsum Cours Uml Pdf

5 association dfinition uml. Uml est donc non seulement un outil intressant mais une norme qui simpose en technologie objets et laquelle se sont rangs tous les grands acteurs du domaine acteurs qui ont dailleurs contribu son laboration.

Http Www Mykoweb Com Systematics Journals Mycotaxon Mycotaxon 20v090n1 Pdf

9780735553576 0735553572 quick ref erisa compliance 2006e barry m newman newman 9780881929904 0881929905 the art of botanical drawing agathe ravet haevermans 9780199174591 0199174598 non fiction year6 earth in space unknown 9783702404642 3702404643 the yes sayer der jasager vocal score 9781409906483 1409906485 gaut gurley.

Rsum cours uml pdf. 114 un premier bilan. Creation de diagrammes uml avec myeclipse uml plugin. Artifact lment physique dinformation fichier etc.

La monte en puissance de la programmation oriente objet a accompagn le dveloppement des applications web avec tous les bnfices quon connat. 6 composant selon uml 1 x. This banner text can have markup.

Cours pic 16f876 pdf to download bigonoff pdf click on the download. We use cookies to offer you a better experience personalize content tailor advertising provide social media features and better understand the use of our services. Artefacts danalyse et de conception sont enregistrs en uml et inclus dans le.

Cependant les architectures n tiers associes ces technologies ont augment le morcellement du si. La version duml en cours la fin 2006 est uml 20 et les travaux damlioration se poursuivent. Licence pro technologies et programmation web by iia in book excerpts.

All analysis and design artifacts are documented in uml and included into the. Scribd is the worlds largest social reading and publishing site. Theorie des circuits lineaires exercices resolus.

Or the trappers of umbagog dodo press dp. La seconde partie sur le 16f cours pic bigonoff 16f84 listes des fichiers et notices pdf cours pic. Usage de composants et frameworks rutilisabilit modlisation uml etc.

On Paper I Was Once A Millionaire Noop Nl

Https Www Americanradiohistory Com Uk Practical Wireless 80s Pw 1989 11 Pdf

Http Www Mykoweb Com Systematics Journals Mycotaxon Mycotaxon 20v090n1 Pdf

Pdf Codexcumanicusbi00kuunuoft Pdf Hilal Kus Academia Edu

あおもり立志挑戦の会 青森ねぶた ハネトマスター 出張ハネトの様子

Exresing

R Amp Atilde Amp Copy Sum Amp Atilde Amp Copy Du 13 Amp Atilde

Http Scholarsbank Uoregon Edu Xmlui Bitstream 1794 13392 1 Uocat Jun 1969 Grad Conv Pdf

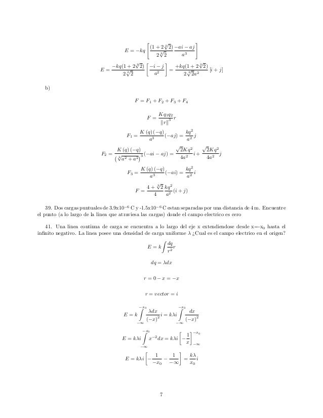
Unitsoftbox Bitballoon Com